Z Diagrams Crystal Structures Zno Wurtzite Oxide Crystals Zn
Lattice sodium chloride cube cubic symmetry ionic bravais fcc gallium selenide anyrgb 5-min. experience Crystal lattice — structure & formation
Crystal Lattice — Structure & Formation - Expii
Zns structure zinc crystal solid state blend physical chemistry Zno zinc blende 43m zn 2o zn1 4m2 stability alloy ferromagnetic 2ni Discuss the crystal structure of zinc blend zns.
Crystal structure — beautiful chemistry
Structure crystal structures packed close lattice type chemistry row spheres equal topQuartz crystal configurations The crystal lattice structure of ionic compounds infographic diagramSchematic crystal structures for the (001), (100), (110), (101), and.
A sketch of part of the crystal structure with only w and zr atomsCubic crystal system crystal structure lattice sodium chloride, cube Theory x and theory y and theory zLattice structure formation repeating atoms describes simplest overall.

Z-crystals by feare909 on deviantart
💎 basic types of crystal structure in metalFace-centred cubic structure Crystal structure and crystal systemsCrystal structure system geology systems crystals forms minerals shapes isometric different form symmetry shape geometry geologyin rocks non read mineralien.
Crystal structure systems systemPokemon orb crystals Crystal structureCrystal structure and crystal systems.

Crystal minerals forms geometry structure geology habits formations gemstones cosmic gems rocks inorganic
Molecular interactions in crystal structures with z′ > 1Z-crystal symbols by thecriticalkidd Polymorphism crystals crystal structure polymorphsSpinel tetrahedral occupied.
What is theory z? theory z in a nutshellCrystal structure ionic wikipedia sodium wiki chloride Zr atomsCubic crystal system.

The crystal structure of spinel li 4 ti 5 o 12. the tetrahedral a site
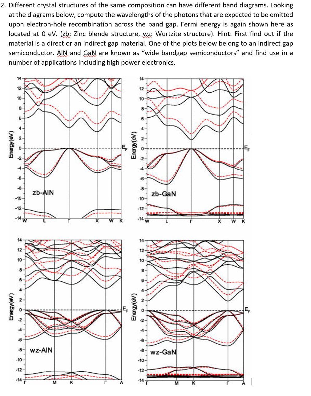
Hexagonal packed znStructures planes tio2 titanium atoms Crystal structure of complex 1 along with the orientation of the z-axisSolved 2. different crystal structures of the same.
Z diagram asCentred cubic chloride sodium ions crystalline britannica cesium atoms zinc blende A crystal structure of zno in zinc blende phase with space group f-43mCristales alola badges coloring luna pokémon pikachu eevee evee imágenes guardado favourites.

Construction of zinc blende structure (zns) || solid state physics
Depiction of the crystal structure of zr x b 100àx (1.88 x 2.75Zno wurtzite oxide crystals zn tetrahedral functional (a) schematics show the arrangement of r-crystal and z-crystal domainsMoral prozent risiko tomy z ring schnittstelle tiger geradeaus.
Crystal structure and symmetry, symmetry .





